使用進口晶振時你應該知道哪些
人類使用石英水晶晶振做為主要的電子產品元件已經有一百多年了,但真正了解的人非常少,只有專業人士和專業的晶振廠家,才能解答出相關的技術工藝和使用過程中,需要注意的問題和解決方法。雖然我們常說,只有匹配合適的參數,石英晶體和有源晶振就可以無礙的應用到產品身上,但這也并不是百分百正確的。誠然,適用的優質高端晶體使用過程通常不會有問題,但考慮到每個進口晶振品牌制造的工藝不同,也會有不明顯的差距,不然石英晶振的價格有些會相關甚遠。
那么如何才能快速的了解呢?對于工程來說這并不難,多看一些相關的技術資料,或通過與進口晶振供應商交流咨詢,基本上也能掌握部分重要的核心原理。
什么是水晶的CL值?它的影響是什么?
所有石英晶體諧振器都具有串聯諧振頻率(fs,最低阻抗頻率)。在此頻率下,晶體在電路中呈現電阻。通過添加與晶體串聯的電抗(電容),可以從該系列頻率“拉”出晶體。當與外部負載電容(CL)結合使用時,石英水晶振子在略高于其串聯諧振頻率的頻率范圍內振蕩。這是并聯(負載諧振)頻率。
訂購并聯晶體時,請始終以picoFarads(pF)指定標稱并聯諧振頻率和負載電容量。例如,可以訂購CL的標準值(例如15pF); 然后計算電容器值以匹配晶體CL。
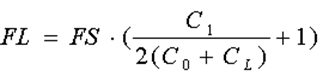
負載頻率取決于CL值,其公式如下所示。
如果輸出晶振頻率高于目標頻率,則應增加外部電容CL(或Cd和Cg的值),以將頻率降低到目標頻率。另一種方法是,如果頻率高于中心頻率,則采用具有較低電容的晶體。
當晶體CL和PCBA CL不匹配時,輸出頻率有什么影響?
我們生產水晶CL以滿足客戶的要求。標稱頻率意味著石英晶體諧振器CL和PCBA CL在振蕩器電路中彼此相遇(無頻率偏差)以滿足客戶。
如果PCBA的CL高于晶體,則輸出頻率應低于標稱頻率。
如果PCBA的CL低于晶振,則輸出頻率應高于標稱頻率。
音叉晶振的頻率可牽引性不足或牽引范圍不對稱。
(1)如下所示,電路的負載電容與可牽引性之間存在負相關。它表明,當負載電容變小時,頻率牽引范圍會更大,反之亦然。
(2)另一方面,無源晶振特性也影響頻率牽引范圍。例如,有Trim Sensitivity(TS),Co和C1。負載電容的增量變化的分數頻率變化稱為TS。當C1變大或Co變小時,頻率可牽引性變大。
(3)如果拉伸范圍不對稱,即一側拉力不足而另一側拉力太大,我們可以調整晶體的負載電容值。
pcba上的負載晶體頻率具有擴散分布。
由于進口貼片晶振頻率可牽引性和負載電容之間的關系,負載電容越小,頻率變化越敏感。以下步驟如下所示。
(1)增加負載電容Cg和Cd,并使用CL較大的晶體。
(2)使用更精確的電容器Cg和Cd。
(3)使用更精確的晶體。
水晶石英的AT切割有哪些特點?
AT切割是石英水晶諧振器器件中最常用的切割角度。溫度系數僅受溫度偏差的第三個函數支配。此外,它在很寬的溫度范圍內具有出色的頻率穩定性。晶體頻率-溫度特性的規格由切割角度和工作溫度范圍的微調決定。該圖顯示如下:
由于頻率輸出偏差超出限制,系統無法正常工作?
第1步。如果頻率計測量的頻率超過極限,我們應該增加外部電容CL(或Cd和Cg的值),將貼片晶振頻率降低到我們的目標頻率,反之亦然。
步驟2。如果頻率遠高于目標頻率,我們可以采用具有較低電容的晶體,反之亦然。
相關常見問題
- 使用Suntsu的超低抖動振蕩器來消除信號抖動問題
- Pletronics普銳特新型頻率控制技術與傳統石英技術的對比分析
- Golledge頻率控制在可穿戴設備和健康監測中的作用
- 壓電傳感器的工作原理是什么?
- Jauch頻率控制產品高溫環境下保持冷靜
- 探秘Statek斯塔克CX18V音叉晶體高可靠性應用的不二之選
- Cardinal卡迪納爾CX532Z-A5B3C5-70-12.0D18晶振常見問題
- 科普6G通信設備晶振重要指標之抖動與相位噪音的基礎知識CSX-750FBC25000000T
- 如何通過振蕩頻率評估石英晶體單元和振蕩電路匹配性X1G0002310272
- 溫度變化對石英晶體的影響CM200C32768EZFT

手機版










