Geyer的KX-327NHT石英晶體優勢
本文主要是探討了32.768KHz時鐘石英晶體降低負載和功耗方面的優點,與傳統的 32.768KHz石英相比,ESR較低,顯示振蕩儲備,振蕩時間和石英負荷。
通過下面七個環節1.降低CMOS振蕩器電路的功耗 2.CL與振蕩器電路功耗的關系 3.負阻力(振動儲備)和CL的關系 4.振蕩器電路和R1(ESR)的電流吸收關系 5.低CL(糾纏時間)的其他優點 6.低CL(第四次負荷)的其他優點 7. 精確度 vs. 功耗石英振蕩器的功耗取決于工作電壓(VDD),頻率,負載能力,以及 石英的R1(ESR)等證實了使用Geyer的KX-327NHT石英的優勢—— 顯著降低電力消耗, 改進的振動儲備,更短的振動時間,減少石英負荷時的安全功能。電子的負載能力為7pF,而不是12.5pF。
Artikelnummer 12.87153 7pF +/-20ppm ≤ 80k Ohm, 50kOhm typ.
Artikelnummer 12.87148 7pF +/-20ppm ≤ 50k Ohm, 35kOhm typ.
1.降低CMOS振蕩器電路的功耗
石英晶體振蕩器的功耗取決于工作電壓(VDD),頻率,負載能力,以及 石英的R1(ESR)
* Stromaufnahme der Oszillatorschaltung
1. Laden und Entladen des CL » niedriger CL
2. Stromflu? » niedriger R1
* niedriger CL undniedriger R1 des Schwingquarzes erm?glichen die Verringerung der
Leistungsaufnahme der Oszillatorschaltung
2.CL與振蕩器電路功耗的關系
Lade- und Entladestrom ID (Berechnung) Strom durch die Oszillatorschaltung (Messung)
* Lade- und Entladestrom bei CL=7pFist 40% niedriger als bei 12,5pF.
* Die Messungen beinhalten den Strom durch den Inverter-IC.
Rechnet man diesen heraus, so ergeben die berechneten Werte n?herungsweise die
tats?chlicheVerringerung des Stromverbrauches.
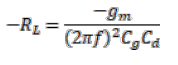
3.負阻力(振動儲備)和CL的關系
negativer Widerstand –RL (KΩ) Anschwingreserve M (Vielfache )
減少 gm 和 VDD 降低了 IC 的功耗和振動儲備。低CL 石英否認了振動儲備的減少。
4.振蕩器電路和 R1 (ESR) 的功耗關系
Strom der Oszillatorschaltung (Messungen) Oszillator Amplitude an Cg (V)
* Der Stromverbrauch einer Oszillatorschaltung basierend auf einem 74HCU04 kann aufgrund des R1 um ca. 10% verringert werden.
* H?herer R1 = geringere Amplitude an Cg = h?herer Strom durch die Oszillatorschaltung
5.低CL(糾纏時間)的其他優點
較低的CL導致較高的消極抵抗,振蕩時間在 低CL較短
6.低 CL(驅動電平 - 石英負荷)的另一個優點
DL = I2 x Re
I = Vg/ (1/“ C)
Re = R1 x (1+Co/CL)2
Ein niedriger CL reduziert den Strom durch den Quarz und verringert den Drive Level. Ein zu gro?er Drive Level macht die Eigenschaften des Stimmgabelquarzes instabil.
7.精確度 vs. 功耗
雖然石英具有低負載能力 CL = 7pF 允許低功耗, 對于高精度具有更高負載能力的石英CL = 12.5pF更有利。 如圖所示,Nenn-CL 7pF的切線比Nenn-CL 12.5pF更陡。 這意味著在 7pF 石英中,隨機公差的影響頻率比在 12.5pF 中更大。
因此,必須在功耗和精度之間進行權衡。
“推薦閱讀”
相關行業資訊
- Statek是高可靠性石英晶體與振蕩器領域的領航者
- Suntsu松圖的Wi-Fi感知技術是智能環境的未來
- SiTime憑借Titan Platform進入40億美元規模的諧振器市場
- Murata村田IoT設備用Wi-Fi 6E/Bluetooth組合模塊以小型高性能解鎖萬物互聯新可能
- Taitien的32.768kHz晶體滿足從緊湊型可穿戴設備到堅固耐用工業設備等各種應用
- 瑞薩推出適用于汽車應用的低功耗藍牙低能耗系統級DA14533芯片
- 瑞薩新款超低功耗微控制器計量及多元應用的破局之選
- Microchip將嵌入式計算設備連接到邊緣計算場景
- Abracon推出新型沖壓金屬嵌入式窄帶天線工作頻率高達8736MHz
- Q-Tech晶振QT8220系列首個全空間合格的多輸出TCXOs

手機版











