OCXO恒溫晶振頻標概念
哪怕是了解一點點晶振的人都知道,頻率對于石英晶體,有源晶振的重要性,晶振本來就是一種頻率控制元器件,依靠頻率和振蕩帶動其他電子元件一起動作,維持產品的正常功能。頻率的分類有三種,KHZ、MHZ、GHZ,最后這種比較罕見,雖然已有一些晶振廠家研發出GHZ晶振,但目前來說,應用的意義遠沒有32.768K和MHZ石英晶振大。本文主要是論述恒溫晶振的頻率標準,以及重要性。
頻率標準的發展對于一個國家的經濟、科學與技術、國防和社會安全有著非常重要的意義。由于制造、交通運輸、通訊與信息技術的不斷迅猛發展,對時間和頻率測量的準確度和精確度要求也越來越高。導航、定位、大地測量、天文觀測、網絡授時和同步以及電網故障檢測中都需要高穩定度和準確度的頻率標準。按照頻率標準的性能指標和應用領域來劃分,可以將其分為一級頻率標準(銫原子頻標)二級頻率標準(包括銣原子頻標和高穩石英晶體振蕩器)和其它頻率標準(包括除高穩石英晶體振蕩器以外的其他晶體振蕩器)。表11列出了常用頻率標準的準確度.
在各種高精度的頻率標準中,氫钅鐘中、銫鐘等都具有很好的長期和短期穩定度, 但價格非常昂貴,一般用于國家授時實驗室,應用范圍非常有限。雖然銣鐘和高穩定度恒溫晶振等二級頻標的頻率穩定度不如一級頻標,但價格低廉,體積較小,應用范圍非常廣泛。它們被廣泛用于通信、計量、應用電子技術、電子儀器、航空航天、雷達和因防軍工等各個領域,作為關鍵器件發揮著重要的作用。近年來由于通信業和軍工方面的發展和需求,我國精密晶體和原子頻率標準的需求也有了明顯的增長。
頻率標準的三個基本技術指標是準確度、穩定度和老化率。晶振頻率標準和計時的精確度會受到科技發展水平的限制。影響頻率穩定度和準確度主要是溫度和老化,因此,國內外正在投入大量精力研究修正這些影響。下面詳細介紹這三種技術指標
1.頻率準確度
用來描述OSC晶振頻率標準輸出的實際頻率值與其標稱頻率值的相對偏差。因為受頻率標準內在因素和外部環境(如溫度、濕度、壓力、震動等)的影響,實際頻率值并不是固定不變的,而是在一定范圍內有起伏的值。計算表達式如下:
式中A為頻率準確度;fX為實際頻率值;fO后為標稱頻率為了得到準確的fX,至少應進行6次測量,采樣時間應該選擇相應的頻率穩定度影響可以忽略時的時間間隔。一般選擇的采樣時間為10s,使得在該時間內被測頻標的短期頻率穩定度比其準確度高出一個數量級。
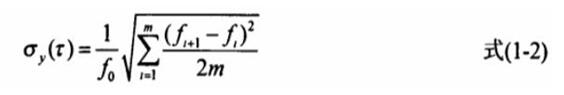
2.頻率穩定度
由于各種外界干擾,例如電子線路的熱噪聲,石英晶體諧振器內固有噪聲,器件的老化,環境條件的變化等,都會使振蕩器的輸出頻率相對于標稱值發生波動,這種波動代表了輸出頻率的不穩定度。目前使用的頻率穩定度表征有兩種。即:頻域表征一相對頻率起伏的功率譜密度,它表現為信號的頻譜不純;時域表征一阿侖方差,它表現為頻率平均值的隨機起伏。二者在數學上是一對傅氏變換,因而是等效的。
實際的阿侖方差計算公式為:
式中f和f,分別為第i和第i+1次測量的頻率值;后為被測頻率源的頻率標稱值, m為測量的次數。
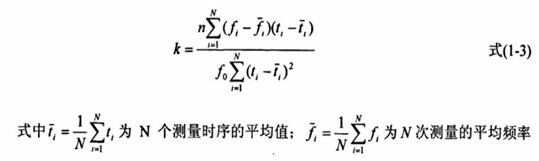
3.老化率的表征和測量
單位時間內平均頻率的相對漂移量叫做漂移率。在石英振蕩器中一般稱為老化率,而在原子頻標中一般稱為漂移率。大多數頻標經過足夠的時間預熱后連續工作,在一段不太長的時間內頻率的漂移呈現近似線性變化的特點。
老化率實用計算公式:
值;t為測量時序,i取1,2,3,…,N;fO為頻率源的標稱頻率;n為一天的取樣次數。
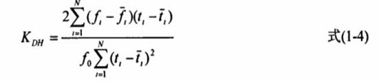
由于頻率值隨時間的變化并不僅僅是線性的,恒溫晶體振蕩器往往是對數老化規律或倒數老化規律,所以從理論上講,每天測量的點數n越多越好。但是從實際測量和計算的方便來講,又希望n取得越少越好。通過大量的實驗,表明每天測量的次數n取兩次就可以了。經簡化后,每天測量的次數n取兩次,測量H天的日老化率KDH的基本簡化公式可以寫為:
原子頻標的日漂移率遠遠小于晶體振蕩器,因此一般按月漂移率給出。由于漂移率呈線性規律,所以月漂移率可以用日漂移率來推算。也就是:
由于高穩定度OCXO晶振的老化率從更長的時間刻度來觀察呈現了隨著加熱時間的延續越來越小的特點,所以國外在考察高穩定度晶體振蕩器的年老化率時常常是在日老化率的基礎上乘以系數100。
公司名:深圳市金洛鑫電子有限公司
聯系人:茹紅青
手機:13510569637
電話:0755-27837162
QQ號:657116624
微信公眾號:CITIZENCRYSTAL
搜狐公眾號:晶振石英晶振NDK晶振
郵箱:jinluodz@163.com
地址:深圳市寶安區41區甲岸路19號
相關技術支持
- Mtron為雷達應用提供的射頻組件與解決方案
- Microchip的JANSPowerMOSFET解鎖太空可靠性新高度
- BomarCrystal專注于表面貼裝(SMD)晶體和振蕩器產品的研發與生產
- Pletronics普銳特MEM產品與傳統石英產品的對比分析
- Murata村田實現1608尺寸車載PoC電感器助力設備實現小型化輕量化
- 引領汽車照明革命Diodes智能48通道LED驅動器的技術突破
- Diodes推出的3.3V四通道混合驅動器能夠確保HDMI2.1信號完整性從而實現高分辨率視頻傳輸
- Taitien利用超低抖動VCXO推動5G及更先進技術的發展
- 利用ECS公司的精確計時解決方案來保障數據中心安全
- ECS這款可靠的定時組件為當前和未來的網絡應用提供了出色的性能

手機版















