石英晶體AT切型圓片切角φ1的選擇
有沒有發現如今高科技甚至是黑科技型電子產品越來越多,而且功能非常多也很新穎,帶來這一切的是我們非常熟悉的石英晶體。所以才會在晶振被大量應用一百多年后,仍然有一些國家還在研究可以制造出更穩定,性能更強,產量更大的貼片晶振技術。諧振器和振蕩器的振蕩電路設計很重要,但首選是先確認好切型和切角。
AT切型圓片切角的選擇應根據技術要求而定,一般按照工作溫度的要求,大體分為如下所述的三種情況。
1.在常溫下工作的石英晶體元件:
這種石英晶體諧振器的工作溫度范圍較窄,一般選擇零溫度系數點與拐點重合的溫度Tinf=20~30℃為參考溫度,它的頻率溫度特性方程為:
零溫度系數點與拐點重合的切角就是零溫度系數切角,或稱為基準角。圖3.4.4給出了AT切型圓片零溫度系數切角φ1隨直徑和頻率變化的關系曲線,以供設計時參考
2.在寬溫度范圍內工作的石英晶體元件
這種石英晶振元件的工作溫度范圍一般為-20~+70℃,因此,只有當頻率溫度特性曲線存在兩個極點時,才能滿足要求,通常選拐點溫度Tinf≈/25℃為參考溫度。它的頻率溫度特性方程為:
其中要求一級溫度系數a0的數值很小,可根據貼片晶振工作溫度范圍及溫度頻差按表3.2.2來選擇相對于基準角的中心角,再按圖3.4.4及石英片的頻率和直徑確定基準角φ0,則:
設計中心角φ1=基準角φ0+φ1’-△φL△φL是C0、CL對f—T特性影響而進行補償的修正角。在初步確定設計中心角后,還要經過實驗驗證。
3.在恒溫槽內工作的石英晶體元件
圖3.4.5 AT切割石英片的頻率溫度系數的零值與溫度(T)和石英片與光軸Z傾斜角的關系曲線(4~7MHz平凸片)
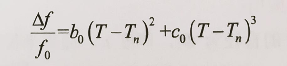
若工作溫度規定為+60℃±5℃的石英晶體元件,或對向上翻轉點有要求的溫補晶振用的石英晶體元件,這就要求零溫度系數點為+60℃,AT切型頻率溫度特性曲線中的兩個翻轉點(向下翻轉點Tm和向上翻轉點Tn)都是零溫度系數點,一般是以向上翻轉點Tn為參考溫度,頻率溫度特性方程為:
相應的切角應比基準角大幾分,初步確定切角后,也要經過試驗驗證,圖3.4.5給出了4~7MHz(基頻)平凸片的向下翻轉點Tm和向上翻轉點Tn與切角的關系曲線。
以上是深圳市金洛鑫電子有限公司提供的有關進口晶振AT切型圓片切角φ1的算法以及選擇,雖然看起來并不是那么通俗易懂,但這些資料相信可以幫助各大生產廠家,和生產型企業內部工程人員,如果仍有不解之處,歡迎咨詢!0755-27837162
相關技術支持
- Mtron為雷達應用提供的射頻組件與解決方案
- Microchip的JANSPowerMOSFET解鎖太空可靠性新高度
- BomarCrystal專注于表面貼裝(SMD)晶體和振蕩器產品的研發與生產
- Pletronics普銳特MEM產品與傳統石英產品的對比分析
- Murata村田實現1608尺寸車載PoC電感器助力設備實現小型化輕量化
- 引領汽車照明革命Diodes智能48通道LED驅動器的技術突破
- Diodes推出的3.3V四通道混合驅動器能夠確保HDMI2.1信號完整性從而實現高分辨率視頻傳輸
- Taitien利用超低抖動VCXO推動5G及更先進技術的發展
- 利用ECS公司的精確計時解決方案來保障數據中心安全
- ECS這款可靠的定時組件為當前和未來的網絡應用提供了出色的性能

手機版












