貼片晶振對激光的反射和吸收
完整的生產出一顆貼片晶振需要經過三十幾道工序,但是相關的晶振技術比制造步驟還要多,激光刻蝕頻率微調就是其中之一,這是一種利用激光掃描晶體刻蝕圖形進行頻率微調的新型技術,被晶振廠家大面積應用到石英晶振生產活動中。最終目的是為了大量的提升產量和品質,金洛鑫電子建廠十多年,早已經運用激光刻蝕頻率微調技術到石英晶振,陶瓷晶振,貼片晶振,圓柱晶振,32.768K晶振,49S晶振的產線上。
激光束入射到晶振材料表面,在材料表面會發生反射、散射、吸收等,要進行激光輻射的熱效應理論計算,首先要知道有多少輻射能量被材料吸收。對于透明或半透明的材料,需要測量材料的反射率和透射率,而對于不透明材料,只需要測量其反射率就足夠了。
從微觀來看,激光對石英晶振的作用是高頻電磁波對物質中自由電子或束縛電子的作用,物質對激光的吸收與物質結構和電子能帶結構有關。金屬中存在大量的自由電子,在激光作用下這些自由電子受到光頻電磁波的強迫振動而產生次波這些次波形成了強烈的反射波和較弱的透射波,透射部分將被電子通過軔致輻射過程而吸收,繼而轉化為電子的平均動能,再通過電子與晶格之間的馳豫過程轉變為熱能。非金屬與金屬不同,它對激光的反射比較低,對應的吸收比較高。電介質對激光吸收與束縛電子的極化,單光子或多光子吸收,以及多種機制的非線性光學效應有關。透明電介質表面或體內的雜質和缺陷往往強烈吸收激光,成為破壞的根源。石英晶體諧振器對激光的吸收有多種機制,以本征吸收最為重要,產生的電子一空穴對很快通過無輻射躍遷復合,將吸收的光能轉變為熱能。等離子體是特殊條件下存在的電離氣體,蒸氣等離子體對激光有很強的吸收作用。
折射率和吸收系數:
光波(電磁輻射)在不帶電的、各向同性的導電媒質中傳播時,服從麥克斯韋方程組。由麥克斯韋方程組出發可得
式中,激光在介質中的電場強度為E,E。和是自由空間的介電常數和磁導率,E,是媒質的相對介電常數,σ是媒質的電導率。對于磁場強度H也可獲得類似的議程。
現考慮沿x方向傳播的平面電磁波,取E的一個分量E,其表示式為
式中E。為E的振幅,a為角頻率,y為平面波沿x方向的傳播速度。(4.12)式代入到(4.1.1)式,得
因為光波在媒質中的傳播速度v應等于c/N,其中N是媒質的折射率,c是真空中光束,因此,有
顯然,當a≠0時,N為復數,設
對于磁場強度分量H,可得出相似的式子
從上述兩個式子得知,σ≠0時,光波以c/h的速度沿x方向傳播,其振幅按eˉmxe的形式下降。這里n是通常的折射率,而x則是表征光能衰減的量稱為消光系數。因此,光強按e2mx衰減,即
引入比例系數a,得:dI/dx=-aI,積分可得:
a稱為媒質的吸收系數,它的物理意義是:光在媒質中傳播1/α距離時能量減弱到原來能量的1/e。將(4.1.8)、(4.1.9)式相比,得吸收系數:
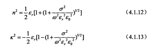
并求解方程組得:
當σ=0時,n=√G,,κ≈0。這說明對于非導電性材料,沒有光吸收,材料為透明狀。在電介質中,電磁波沒有衰減地傳播;而在導電媒質中,如在金屬和半導體中,波的振幅隨著透入的深度而減小,即存在光吸收。
相關技術支持
- Mtron為雷達應用提供的射頻組件與解決方案
- Microchip的JANSPowerMOSFET解鎖太空可靠性新高度
- BomarCrystal專注于表面貼裝(SMD)晶體和振蕩器產品的研發與生產
- Pletronics普銳特MEM產品與傳統石英產品的對比分析
- Murata村田實現1608尺寸車載PoC電感器助力設備實現小型化輕量化
- 引領汽車照明革命Diodes智能48通道LED驅動器的技術突破
- Diodes推出的3.3V四通道混合驅動器能夠確保HDMI2.1信號完整性從而實現高分辨率視頻傳輸
- Taitien利用超低抖動VCXO推動5G及更先進技術的發展
- 利用ECS公司的精確計時解決方案來保障數據中心安全
- ECS這款可靠的定時組件為當前和未來的網絡應用提供了出色的性能

手機版


















