有源振蕩器與其他元件組成的電路
頻率控制元器件石英振蕩器是PCB電路板上重要電子元器件,除此之外,電路板上還有幾十種不同的電子元件,這些元件相互工作相互牽引,驅使電路板正常的工作發揮效果。工程師在制造板子時,都會先設計和計算,確認并采購適用產品板子的石英晶振,電阻器,電容器,電感器,濾波器,緩沖器等,從而組成有效的電路。以下是金洛鑫電子整理的振蕩器電路與其他組成元件的基礎資料,希望對廣大工程和技術有所幫助。
本文回顧了石英振蕩器的基本原理,重點是石英頻率標準(與廉價的時鐘振蕩器相反)。討論的主題包括:晶體諧振器和振蕩器,振蕩器類型,以及溫補晶體振蕩器(TCXO)和恒溫控制晶體振蕩器(OCXO)的特性和局限性。討論的振蕩器不穩定性包括:老化,噪聲,頻率與溫度,預熱,加速效應,磁場效應,輻射效應和大氣壓力效應。還考慮了各種效果之間的相互作用。提供了振蕩器比較和選擇的指南。還包括對規范的討論以及進一步閱讀的參考和建議。
振蕩器基礎知識:
圖1是一個大大簡化的電路圖,顯示了石英晶體振蕩器的基本元件。晶體振蕩器的放大器包括至少一個有源器件和必要的偏置網絡;它還可以包括用于頻帶限制,阻抗匹配和增益控制的其他元件。反饋網絡由晶體諧振器組成,并且可以包含其他元件,例如用于調諧的可變電容器。
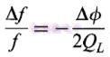
振蕩頻率由閉環相移等于2nrr的要求確定,其中n是整數,通常為0或1。當OSC晶振最初通電時,電路中唯一的信號是噪聲。噪聲的分量,其頻率滿足振蕩的相位條件,以增加的幅度在環路周圍傳播。增加的速率取決于過量的環路增益和晶體網絡的帶寬。幅度繼續增加,直到放大器增益。
圖1.晶體振蕩器-簡化電路圖
通過有源的貼片石英晶振的非線性(在這種情況下它是自限制的)或通過外部電平控制方法減小。在穩態下,閉環增益為1.如果發生相位擾動A@,振蕩器的頻率必須通過Af移動才能保持2~7相狀態。可以證明,對于串聯諧振振蕩器。
其中QL是網絡中晶體的負載Q[311.(“晶體”和“諧振器”通常與“晶體單元”互換使用,但“晶體單元”是官方名稱。)晶體振蕩器設計信息可參見參考文獻31,32,35和36.Crystal oscillator的縮寫為X0。
晶體單元等效電路:
石英晶體單元是已經施加電極的石英晶片,并且其被密封在支架結構中。(晶圓通常被稱為“空白”或“晶體板”。)雖然晶體單元的設計和制造包含復雜的主題,但振蕩器設計者可以將晶體單元視為電路元件并僅處理晶體單元的等效電路。機械振動系統和圖2所示的電路是“等效的”,因為每個都可以用相同的微分方程來描述。
圖2.機械振動系統的等效電路
頻率控制設備:
質量,彈簧和阻尼元件(即緩沖器)對應于電感器,電容器和電阻器。驅動力對應于電壓,質量對電容器上的電荷的位移以及對電流的速度。石英晶體諧振器是通過壓電效應連接到電氣世界的機械振動系統。圖5示出了諧振器的(簡化的)等效電路(一種振動模式),以及晶體單元的電路符號。負載電容器CL與晶體串聯示出。被稱為“分流”電容的CO是由于晶體板上的電極加上由于晶體外殼引起的雜散電容而產生的電容。電路的RI,Lr,Cr部分是“運動臂”,它是由晶體的機械振動引起的。
CO與C1的比率是存儲在晶體中的電能和機械能之間的相互轉換的量度,即壓電耦合因子k。CO/C1隨著泛音數的平方增加;CO/C1與k和N的關系是2CO/C1=[dV/2k12,其中N是泛音數。當直流電壓施加到壓電石英晶體的電極時,電容比CO/C也是由電極形成的電容器中存儲的電能與晶體中由于晶格彈性存儲的能量之比的量度。由壓電效應產生的應變。圖3顯示了晶體單元的電抗與頻率特性。CO/C1也與之成反比。
圖3.帶負載電容的晶體單元的等效電路
圖4.晶體單元的電抗與頻率的關系
反共振頻率分離(即,零極間距),這是濾波器應用中特別重要的參數。電阻與頻率曲線nearfs的斜率與C1成反比,即fS附近的A-WAf/f>-1/-nfCI,其中X是電抗。因此,C1是晶體“stifiess”的度量,即其可調性-參見下一個等式。當負載電容與晶體串聯時,振蕩器的工作頻率增加了Af',其中Af'由下式給出:
當電感器與晶體串聯連接時,操作頻率降低。通過增加或改變電抗來改變工作頻率的能力允許補償TCXO中晶體單元的頻率與溫度變化以及調節壓控晶振(VCXO)的輸出頻率;在兩者中,頻率可以通過改變變容二極管的電壓來改變。對于圖4的簡單RLC電路,諧振曲線的寬度與品質因數Q成反比,但在晶體振蕩器中,情況是由于存在C,以及操作Q低于諧振器Q這一事實使其復雜化。對于石英諧振器,Q=(2n~CIII)-'。
隨著技術的提升,石英晶體振蕩器的類型越來越多樣化,而且也更加靈活,適用于不同的產品方案,高端的Oscillator產品的尺寸也在往更小的方向發展,現在體積最小的振蕩器只有1.6*1.2mm,說不定用不了多久,就會研發出1.0*0.8mm尺寸的有源晶振。當然選擇一顆合適的晶振,除了尺寸和類型之外,主要還是要看其他幾項重要的參數,例如頻率,電源電壓,精準度,工作溫度/儲存溫度,老化率,輸出方式等。
相關技術支持
- Mtron為雷達應用提供的射頻組件與解決方案
- Microchip的JANSPowerMOSFET解鎖太空可靠性新高度
- BomarCrystal專注于表面貼裝(SMD)晶體和振蕩器產品的研發與生產
- Pletronics普銳特MEM產品與傳統石英產品的對比分析
- Murata村田實現1608尺寸車載PoC電感器助力設備實現小型化輕量化
- 引領汽車照明革命Diodes智能48通道LED驅動器的技術突破
- Diodes推出的3.3V四通道混合驅動器能夠確保HDMI2.1信號完整性從而實現高分辨率視頻傳輸
- Taitien利用超低抖動VCXO推動5G及更先進技術的發展
- 利用ECS公司的精確計時解決方案來保障數據中心安全
- ECS這款可靠的定時組件為當前和未來的網絡應用提供了出色的性能

手機版












