恒溫晶體振蕩器的PID控制器原理和作用
OCXO是恒溫石英晶體振蕩器的簡稱,OCXO恒溫晶振屬于高穩定,高技術,高要求,高可靠的高端有源晶振,這種恒溫晶體振蕩器都有一個恒溫槽,里面有一個石英晶體諧振器可以使周圍的溫度保持恒定。并且恒溫晶體振蕩器還可以使頻率變化量減少到最小,而且還融合了低相位抖動,低相噪,低插損等優良特性,可以用在智能汽車、工業產品、科研計量、人造衛星、軍事設備等多個領域。PID控制器是P,PI,PD的統稱,是應用到恒溫晶體振蕩器身上的高新技術。
PID控制器原理
PID控制器是一種線性控制器,它根據給定值r(t)和實際輸出值y(t)構成控制偏差e(t)
再按比例、積分、微分運算后構成PID控制規律
寫成傳遞函數的形式為:
式中Kp為比例系數,T1為積分時間常數,TD為微分時間常數,原理如圖4.13所示:
下面簡單介紹比例部分、積分部分和微分部分的作用。
1.比例調節器(P)
它的輸出和偏差信號成正比,只要偏差出現,就能及時地產生與之成比例的調節作用。調節的強弱取決于比例系數Kn的大小,K,越大系統的響應速度越快,系統調節的石英晶振精度越高,但是容易產生超調,系統的穩定性變差。如果K取值過小,系統響應速度變慢,調節時間加長,穩定性變壞。
2.比例積分調節器PI)
只要系統存在誤差,積分控制作用就不斷積累,輸出控制量以消除誤差,因而只要有足夠的時間,積分將能完全消除誤差。參數T的一個最主要作用就是消除系統的穩態誤差,T越大系統穩態誤差消除的越快,但也不能過大,否則在響應過程的初期產生積分飽和現象,若T過小,系統的穩態誤差難以消除,影響石英晶體振蕩器系統的調節精度。
3.比例微分調節器(PD)
微分控制可以減小超調量,克服有源晶振振蕩,使系統的穩定性提高,同時加快系統的動態響應速度,減小過渡過程時間,從而改善系統的動態性能,具有“前導”作用,但T不能過大,否則會使響應過程提前制動,延長調節時間,并且會降低系統的抗干擾能力。
為了能在數字信號處理器中實現對系統的PD控制,必須對其進行離散化處理。常見的數字PID控制方法有位置式和增量式,位置式PID算法每次輸出與整個過去狀態有關,計算式中要用到過去偏差的累加值,容易產生較大的累積誤差;而增量式PID只需計算增量,當存在計算誤差或精度不足時,對控制量計算的影響較小。因為這里PD控制器的執行單元是DA轉換器,其轉換輸出的電壓用來調節OCXO晶振的頻率,因此需要的是控制的絕對數值,而不是控制的增量,所以位置式PID控制算法在這里比較合適,下面將簡單介紹位置式PD控制算法。
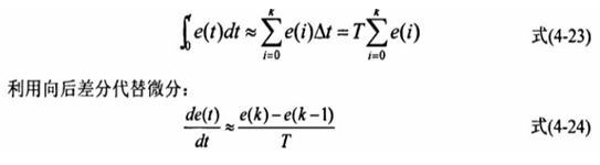
當采樣時間T很短時,采用數字逼近的方法,利用求和代替積分:
式中,T為采樣周期;k為采樣序號;e(k)為系統在第k次采樣時刻的偏差值; e(k-1)為系統在第(k-1)次采樣時刻的偏差值。
離散PID表達式;
般稱K為比例系數,K1=KPT/T1為積分系數, KD=KPTD/T為微分系數,依次稱為比例項、積分項和微分項。
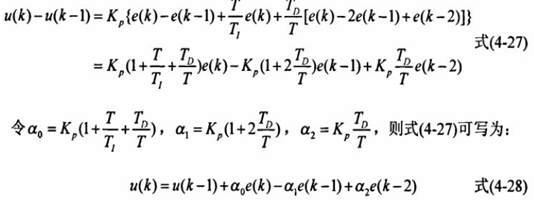
由式(425)可得第(k-1)次樣時刻的控制量為:
用式(4-25減去式(K-1)可得:
這就是位置式PID的遞推公式,在進行數字化離散后編程用的就是這個公式。
相關技術支持
- Mtron為雷達應用提供的射頻組件與解決方案
- Microchip的JANSPowerMOSFET解鎖太空可靠性新高度
- BomarCrystal專注于表面貼裝(SMD)晶體和振蕩器產品的研發與生產
- Pletronics普銳特MEM產品與傳統石英產品的對比分析
- Murata村田實現1608尺寸車載PoC電感器助力設備實現小型化輕量化
- 引領汽車照明革命Diodes智能48通道LED驅動器的技術突破
- Diodes推出的3.3V四通道混合驅動器能夠確保HDMI2.1信號完整性從而實現高分辨率視頻傳輸
- Taitien利用超低抖動VCXO推動5G及更先進技術的發展
- 利用ECS公司的精確計時解決方案來保障數據中心安全
- ECS這款可靠的定時組件為當前和未來的網絡應用提供了出色的性能

手機版
















