石英晶振的熱物理規格和三維熱傳導公式
長期被全球生產廠家大量使用的石英晶振,原材料的化學成分叫做SiO2,就是我們俗稱的石英,是自然界中一種固體形態的礦石。后來由于采集過程時間長,天然數量稀少,后來開始大面積采用人造的石英和水晶,同樣具有壓電效應和起振功能。石英晶體諧振器已經沿用了一百多年,在實際測量中也需要用到數字方程。下面由金洛鑫電子帶大家了解一下,什么是石英晶振的三維熱傳導方程,以及晶振的熱物理參數規格。
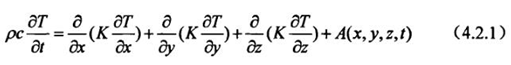
一個三維熱傳導方程可寫為如下通用形式
式中K為熱導率,p為材料密度,c為材料比熱容,T為溫度,t為時間變量,A(x,y,z,t)為每單位時間、單位體積傳遞熱給固體材料的加熱速率。由于晶振的熱物理系數是溫度的函數,所以方程(421)是非線性的,其解非常復雜,很難得到解析解。然而事實上大部分材料的熱物理參數隨溫度變化并不明顯,故在一定條件下可假定其與溫度無關,在一定的溫度范圍內取其平均值進行計算,這樣方程(4.21)才可能得到解析解。
若激光作用下材料是均勻各向同性的,則方程(421)可簡化為
式中k=K/pc為材料的熱擴散率
由于求解熱傳導方程非常復雜,許多學者提出了一些熱模型,在求解熱傳導方程時通常的假定條件是:
(1)被加熱石英晶體諧振器是各向同性物質。
(2)材料的熱物理參數與溫度無關或取特定的平均值。
(3)忽略熱傳導中的輻射和對流,只考慮材料米表面的熱傳導。
4.2.2激光輻照固體材料的熱模型
1.激光輻照半無限大固體模型
(1)均勻輻照半無限大固體模型
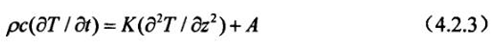
在激光與石英晶體相互作用的熱轉換的理論研究中,最簡單的方法是將激光束作為一個均勻的熱源加熱半無窮大物體。當加熱的橫向尺寸遠遠大于激光加熱深度時,可按一維半無限大模型討論。一維熱擴散方程可表示為:
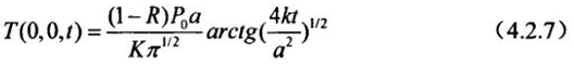
σ為材料的對激光的吸收系數,A=(1-R) Paexp(-az)為激光在貼片晶振材料內單位體積內產生的熱,式中R是反射率,P為入射到材料表面的光功率密度。求解式(4.23),可得表面溫升為:
式中k=K/pc為材料的熱擴散率。
(2)高斯光束輻射半無限大固體模型
實際應用中,激光束并非一個光強分布絕對均勻的熱源,激光束的橫向光強分布一般是高斯型的,在聚焦焦斑處的光強也是高斯分布,這時作用石英貼片晶振材料表面的激光功率密度為:
其中P為光束中心功率密度,a為光束的高斯半徑。
則高斯光斑輻照下靶材的溫度變化為:
材料表面中心處的溫度變化為:
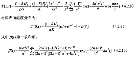
2.激光加熱有限厚薄板的熱源模型
從熱學觀點來看,若l為板厚,當l2≥k時,認為板為厚析;當12≤k/3板的絕熱表面與受熱表面溫差小于10%,這時在熱學上稱為薄板。
激光均勻輻照有限厚固體,這時溫度變化為:
相關技術支持
- Mtron為雷達應用提供的射頻組件與解決方案
- Microchip的JANSPowerMOSFET解鎖太空可靠性新高度
- BomarCrystal專注于表面貼裝(SMD)晶體和振蕩器產品的研發與生產
- Pletronics普銳特MEM產品與傳統石英產品的對比分析
- Murata村田實現1608尺寸車載PoC電感器助力設備實現小型化輕量化
- 引領汽車照明革命Diodes智能48通道LED驅動器的技術突破
- Diodes推出的3.3V四通道混合驅動器能夠確保HDMI2.1信號完整性從而實現高分辨率視頻傳輸
- Taitien利用超低抖動VCXO推動5G及更先進技術的發展
- 利用ECS公司的精確計時解決方案來保障數據中心安全
- ECS這款可靠的定時組件為當前和未來的網絡應用提供了出色的性能

手機版
















